top questions about weeds

by

Diablo

top  questions about weeds

• sometimes the active ingredient in the weed -and-feed product will not be effective against the weed species present or are preemergent herbicides that are not effective after weeds have emerged. · discover 26 fascinating facts about weeds , their impact on agriculture, and how to manage them effectively. One of the biggest marijuana questions involves the discrepancy between the components of cannabis. · whether youre a seasoned user, a student of botany, or simply someone who is curious about this fascinating plant, this list of cannabis trivia questions is sure to provide you with hours of enjoyment and learning. Get quick, straight answers to common growing questions , so you can get back to your plants! Cbd is only one of over a hundred various cannabinoids found in the cannabis sativa plant. · use these top ten questions about cannabis to satisfy your curious mind. Does cbd get you high? Learn more about these resilient plants! · in this installment of our ask a pro series, quinten tackles your questions about getting rid of and preventing weeds with landscaping techniques. · check out the list below, which includes the 10 most commonly asked questions about weeds in the landscape and garden and see if we have the solution to your biggest weed problem.

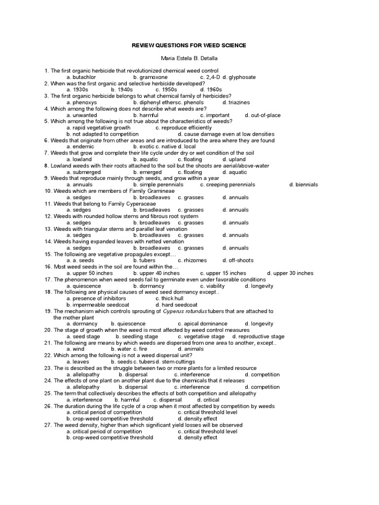
Review Questions For Weed Science | PDF | Seed | Herbicide

Related Post